It is a great pleasure for me to propose here, in collaboration with François, the coordinates of a pair of airfoils dedicated to aerobatic gliders: SC17 and SC17s.
It is not a revolution. As the article will show, the idea is to cross aerodynamic analysis with flight impressions to produce an airfoil adapted to the type of flying I’m hoping to achieve. With some explanations, it’s also an invitation to experiment and share your own airfoil creations!
La version française de cet article est ici. Thanks to Steve Lange for help with English version 🙂
Coordinates
2 .dat files with coordinates of these airfoils here:
SC17
SC17s
Why airfoils again?
The majority of aerobatic gliders I flew were designed either TP42/TP29 (symmetrical, Thierry Platon) or SB96V/Vs (asymmetrical, Serge Barth).
I appreciated the differences between these 2 combinations, both piloted in 4 axes technique. In short: SB glides better, while TP is better for inverted flight. In mountain thermal flight, I really feel these differences at the sticks. So I started a few months ago to see if I could find by calculation these differences with PredimRC by Franck Aguerre, and in this I was successful, taking into account the flap angles.
Not totally satisfied with the inverted flight of SB96V/Vs, but a little frustrated in gliding with TP42/29, I tried to find a compromise …
How was SC17 designed?
I was not an aerodynamicist. I still am not! But I learned some things …
The first step analyze create an airfoil profile halfway between the profiles of SB96V and TP42. Once I’d drawn this « 50/50 » profile, I analyzed its polars using Xfoil in PredimRC. Although not really a surprise, but still representing a small satisfaction, the 50/50 polar is positioned well between the polars of SB and TP. It means that this 50/50 profile is between TP and SB for inverted flight and for gliding.
Then I wanted to not just compare polars because these curves are too far from what I know to feel when flying. So I took the 3 indicators that speak to me:
– max glide ratio (the glider goes far without descending),
– min sink rate (the glider does not descend quickly, and climbs well in the lifts),
– keeping energy in a loop (when I start a square loop, the glider does not lose speed).
All 3 are calculable on a complete glider geometry under PredimRC.
I stored the values of these 3 indicators (2 times, normal and inverted flying!), looking for the best flap angle, for the Troll with SB96V and with TP42:
Then, I tinkered. Yes, no real optimization method! A little less curvature here, a little more SB than TP there.
Anyway, I imagined that the « classic » optimization points of the aerodynamicists had already been sought by SB and TP (with whom I have not have contact – it would be a great source of learning for me if they want to), and as I keep close to their profiles … It serves as guardrails to keep me from straying too far!
With each new shape of profile, I analyzed both upright and inverted flying with Xfoil, with all the flap angles between 0 ° and 20 °, to know the best values of the 3 indicators (I made a VBA code for that , I did not do everything by hand!).
The objective was to improve inverted flying as much as possible, without degrading upright performance, in comparison with SB.
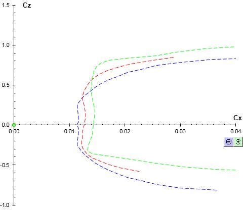
In the end, here are the performances on a Troll that PredimRC calculates with the combination SC17/17s:
Why does it seem good? For example in normal min sink rate, it would be -0.55 very close to the SB96V (-0.54); and inverted at -0.62 far better than SB (-0.68) without of course equaling TP (-0.59).

The inverted stall turn, in light lift conditions, consumes a lot of energy at 1/4 loops if the airfoil is not suitable.
What about SC17″s »?
Like SB96Vs, the goal here is to help for snap roll. Here we go with polars type 2, the curve must have a turning point, which means that the airfoil will stall suddently.

SB96Vs marks the stall, it is also the goal of SC17s but it is less frank.
The curve of the SB96Vs is perfect for this purpose. I have not managed to do as well on SC17s and this is perhaps a way to improve this pair.
How to evaluate results in the air?
I thank François, because when I decided to talk to him about my airfoils, he listened despite my experience close to zero in this area. He advised me for the shape of the salmon profile to help trigger. He also encouraged me to refine my results and refine the details.
Then, he decided to build 2 pairs of Troll wings with my airfoils! He gave me mine in mid-January, but I was only able to try them in mountain thermal flight in August.
For me, the goal is achieved: in normal flight I do not feel the difference with SB96V, while inverted tight loop keep more speed than SB96V, and fighting for lift inverted, I found a better climb rate than with SB96V. All while piloting 4 axes as I did in SB96V/Vs or TP42/29.

Exaggeration of the relative thickness to visualize the nuances between the 3 airfoils.
In dynamic slope flight, when the wind is there, the differences are only slightly felt. This is not the objective of this airfoil, rather sought to optimize energy for aerobatics in light conditions. When the lift is there of course no problem.
Finally, François would like to push the plug further: he equipped his troll with measuring instruments, and we hope to measure glide ratio and sink rate, upright and inverted, with 2 airfoils for comparison (SB and SC). But it’s not that easy and the next few months will tell us if we can fix a reliable flight measurement protocol …

A Troll rudder equipped with a « Pitot » probe for measurements.
Coordinates
2 .dat files with coordinates of these airfoils here:
SC17
SC17s






HI
i am very interested in trying your sc17S profile on a future plane.
Unfortunately i cannot transfere the files from your pdf into my editor .. to get it into my cad.
Do you have these files as .txt or as a dxf ?
Would you be willing to send these to me.
Thanks in advance
greetings from bavaria
Flo
J’aimeJ’aime
Hi Flo,
Sorry I missed your question and this is why the delay…
Yes I have the files in another format, I will add them to the article, but I send them to you now via private email.
Let me know if you use them and how you feel about them!
Thanks for your interest in our website,
Stéphane.
J’aimeJ’aime
Hi,
I am also interested to solid model those profiles for different wings chambers.
I am using Solidworks CAD software. What is the best way to do it ?
Thanks!
Arik
J’aimeJ’aime
Hello,
Did you try the coordinates provided?…
I don’t use Solidworks, sure you can find help on specialized forum about how to use coordinates data to draw a curve.
J’aimeJ’aime
Thanks STEPHANE,
I consulted with somebody and it works. You can import PDF coordinate to excel file and import the excel file to Solidworks and make a curve out of it.
BR
Arik
J’aimeAimé par 1 personne
Hi,
The difference between the SC17 and SC17S is very small. Is that enough to use the SC17 on the wing root and the SC17S on the tip or maybe you are having also some washout?
If yes, then how much?
Thanks
Arik
J’aimeJ’aime
Hello,
No washout on VTPR glider to preserve inverted performance ! 😉
J’aimeJ’aime