C’est un grand plaisir pour moi de proposer ici, en collaboration avec François, les coordonnées d’un couple de profils d’aile dédié aux planeurs de voltige : SC17 et SC17s.
Il ne s’agit pas d’une révolution. Comme le montrera l’article, l’idée est de croiser analyses et sensations aux manches pour produire un profil adapté à ce que je cherche à faire planeur en l’air. Avec quelques explications, c’est aussi une invitation à expérimenter et partager vos propres créations de profils !
Read English version here. Merci à Steve Lange pour son aide à la version anglaise 🙂
Coordonnées
Les coordonnées au format .dat sont disponibles ici :
SC17
SC17s
Pourquoi encore des profils ?
La majorité des planeurs de voltige que j’ai pilotés étaient conçus soit en TP42/TP29 (symétrique, Thierry Platon), soit en SB96V/Vs (dissymétrique, Serge Barth).
J’ai apprécié les différences entre ces 2 combinaisons, pilotées toutes les 2 en 4 axes. En raccourci : SB gratte mieux, TP est meilleur sur le dos. Par voltige en vol thermique de montagne, je ressens vraiment ces différences aux manches. J’avais donc commencé il y a quelques mois par voir si je pouvais retrouver par le calcul ces différences avec PredimRC de Franck Aguerre, et c’était bien le cas, en prenant en compte les angles de volet.
Pas totalement satisfait du vol dos de SB96V/Vs, mais un peu frustré en gratte avec TP42/29, j’ai tenté de chercher un compromis…

Comment SC17 a-t-il été conçu ?
Je n’étais pas aérodynamicien. Je ne le suis toujours pas ! Mais j’ai appris quelques trucs…
Ma première démarche a été de dessiner le profil à mi chemin entre SB96V et TP42, et de le souffler avec Xfoil dans PredimRC. Pas vraiment une surprise mais quand même une petite satisfaction, la polaire du 50-50 se positionne bien entre les polaires de SB et TP. Ca veut dire que ce 50-50 est entre TP et SB pour le vol dos et pour la gratte.

Ensuite, j’ai voulu ne pas me contenter de comparer des polaires car ces courbes sont trop éloignées de ce que je sais ressentir aux manches. Donc : j’ai repris les 3 indicateurs qui me parlent :
– finesse max (le planeur va loin sans descendre),
– taux de chute min (le planeur ne descend pas vite, et grimpe bien dans les ascendances),
– conservation d’énergie en ressource (quand je tire sec pour entamer une boucle carrée, le planeur ne perd pas de vitesse).
Tous les 3 sont calculables sur une géométrie complète de planeur sous PredimRC.
J’ai stocké les valeurs de ces 3 indicateurs (2 fois, sur le ventre et sur le dos !), en cherchant le meilleur angle de volet, pour le Troll avec SB96V et avec TP42 :
Puis, j’ai bidouillé. Bin oui, pas de vrai méthode d’optimisation. Un peu de courbure en moins par ci, un peu plus de SB que de TP par là.
De toutes façons, j’ai imaginé que les points d’optimisations « classiques » des aérodynamiciens avaient déjà été recherchés par SB et TP (avec qui je n’ai pas pu avoir de contact, ce serait une grande source d’apprentissage pour moi s’ils le veulent), et comme je me maintiens proche de leurs profils… Ça sert de garde fou !
A chaque nouvelle forme de profil, je soufflais avec Xfoil sur le ventre et sur le dos, à tous les angles de volet entre 0° et 20°, pour connaître les meilleures valeurs des 3 indicateurs (j’ai fait une moulinette VBA pour ça, je ne faisais pas tout à la main !).
L’objectif a été d’améliorer le vol dos le plus possible, sans dégrader le vol à plat, par rapport à SB96V.
Au final, voici les perfos sur un Troll que PredimRC calcule avec la combinaison SC17/17s :
Pourquoi ça semble bien ? Par exemple en taux de chute à plat, on serait à -0,55 très proche du SB96V (-0,54) ; et sur le dos à -0,62 bien mieux que SB (-0,68) sans bien sûr égaler TP (-0,59).

Le renversement dos, en petites conditions, consomme beaucoup d’énergie au niveau des 1/4 de boucle si le profil n’est pas adapté.
Qu’en est-il du SC17″s » ?
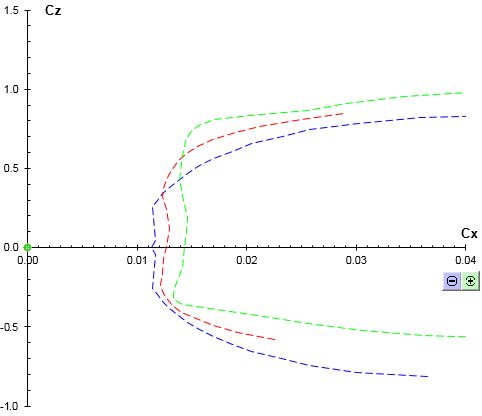
Comme avec SB96Vs, le but est de favoriser les déclenchés. Les polaires type 2 ont ici une utilité de plus, on cherche à avoir une rupture marquée de la courbe, qui correspondra à un décrochage brusque du profil.

SB96Vs marque bien le décrochage, c’est aussi le but de SC17s mais c’est moins franc.
La courbe du SB96Vs est parfaite dans cette optique. Je n’ai pas réussi à faire aussi bien sur SC17s et il s’agit peut-être d’une piste d’amélioration de ce binôme.
Comment évaluer objectivement les résultats en l’air ?
Je remercie François, car lorsque j’ai décidé de lui parler de ma proposition de profils, il a été à l’écoute malgré mon expérience proche de zéro en la matière. Il m’a conseillé pour la forme du profil de saumon afin de favoriser les déclenchés. Il m’a aussi encouragé à affiner mes résultats et peaufiner les détails.
Puis, il a décidé de construire 2 paires d’ailes de Troll avec mes profils ! Il m’a donné les miennes mi-janvier mais je n’ai pu les essayer en vol thermique de montagne qu’au mois d’août.
Pour moi, l’objectif est atteint : en vol à plat je ne ressens pas la différence avec SB96V, alors que sur le dos les ressources serrées freinent moins le planeur qu’en SB96V, et dans une pompe sur le dos j’arrive mieux à gagner de l’altitude qu’avec SB96V. Le tout en pilotant 4 axes comme je le faisait en SB96V/Vs ou TP42/29.

Exagération de l’épaisseur relative pour visualiser les nuances entre les 3 profils.
En vol de pente dynamique, quand le vent est là, les différences ne se ressentent que faiblement. Ce n’est pas l’objectif de ce profil, plutôt recherché pour optimiser l’énergie en voltigeant dans des conditions légères. Quand la portance est là bien sûr aucun problème.
Enfin, François aimerait pousser le bouchon plus loin : il a équipé son Troll d’instruments de mesure, et nous espérons mesurer finesse et taux de chute, à plat et sur le dos, avec les 2 profils pour comparaison (SB et SC). Seulement, ce n’est pas si facile et les mois à venir nous diront si nous arrivons à fixer un protocole fiable de mesures en vols…

Une dérive de Troll équipée d’une sonde Pitot pour les mesures.
Coordonnées
Les coordonnées au format .dat sont disponibles ici :
SC17
SC17s
Ces améliorations n’ont de sens que si le profil est respecté et si les volets de courbure ou d’aileron sont bien positionnés et très peu déformables sous effort. C’est le cas de nos ailes en polystyrène extrudé, coffrées carbone et stratifiées en moule sous vide. Des renforts carbone unissant extrados et intrados assurent la rigidité en torsion.




Un bel exemple de démarche scientifique, méthodique et pragmatique, bravo Stéphane !
J’aimeJ’aime
Merci Franck 🙂
J’aimeJ’aime
Est il possible que les coordonnées du profil soit publiées ou c’est encore confidentiel.
J’aimeJ’aime
Les coordonnées sont en fin d’article dans un fichier PDF à cliquer 😉
J’aimeJ’aime
Merci pour le partage!
Peut-on connaître les valeurs de courbure des gouvernes optimum en fonction des phases de vol?
J’aimeJ’aime
C’est bien l’info manquante dans cet article ! Je ne voulais pas surcharger. Je prépare un petit article spécifique dans les jours qui viennent.
J’aimeJ’aime
Bonjour Stéphane,
Super travail!! Merci pour nous en communiquer le résultat, cela donne très envie d’essayer.
Quelle est la valeur de corde des volets retenue? 30%? 25% de la corde d’aile?
Encore bravo
J’aimeJ’aime
30%, je vais faire un autre petit article sur les angles des volets dans les jours qui viennent…
J’aimeJ’aime